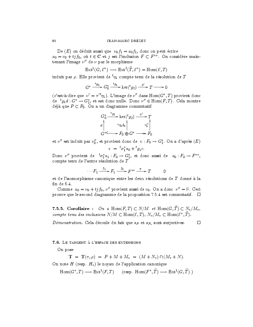
slide
80/105